> Al(Aluminum)

Al(Aluminum)

Al: (F) table all graphs eps_1 eps_2 n k mu f1 f2 energy loss R effective number of electrons
from partial f-sum rule
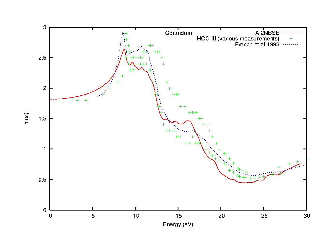
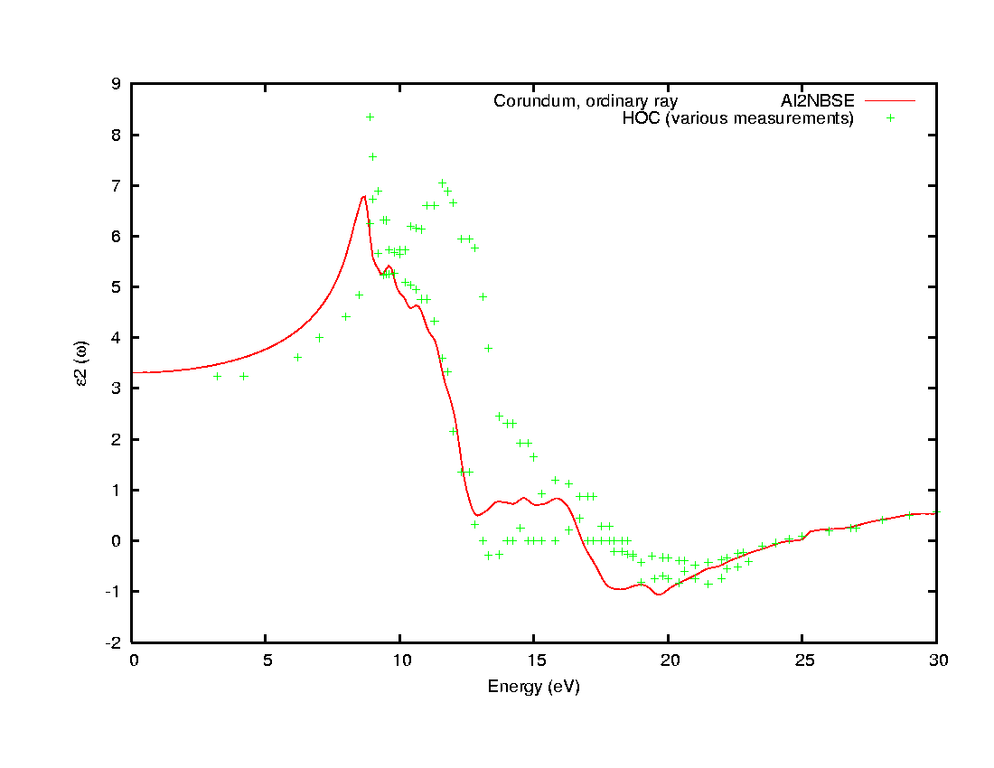
Corundum: (A) eps_1 eps_2 n k mu energy loss R