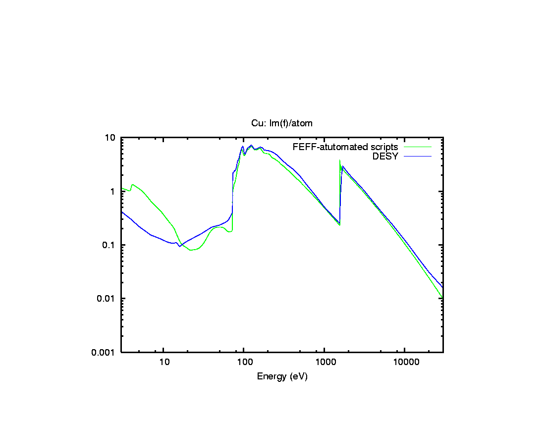
> imaginary part of scattering factor Plot of Al imaginery part of scattering factor
Data from: H. J. Hagemann, W. Gudat, and C. Kunz, J. Opt. Soc. Am. 65, 742 (1975); H.J. Hageman, W. Gudat, and C. Kunz, Optical Constants From the Far Infared to the X-ray Region: Mg, Al, Cu, Ag, Au, Bi, C, and Al2O3. DESY Report SR-74/7 (1974).